歡迎光臨 [ 無錫市貝潤風機制造有限公司 ] 官方網站!

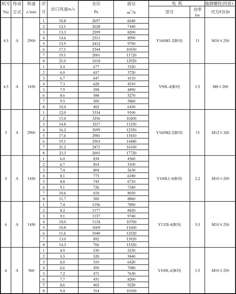
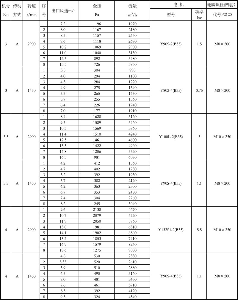
4-79型離心風機

4-79性能與選用件表